BeTrained.in has brought the NCERT books for class 11 Fundamental Of Physical Geography where you can find every topic explained in a detailed way. These books are recommended by CBSE and some other state boards. Most of the teachers also use these books for teaching in schools. It is also used as a reference to prepare the questions for mid-term and final exams. The topics are explained in a very easy language along with examples and diagrams. Also, ideal for comprehensive and thorough learning to develop a clear concept. The chapters in the books have illustrative examples and practice problems for getting a hold of any kind of concept.
The time when students had limited options of choice for NCERT books wherein they need to go to the bookstore to buy the books but here at BeTrained.in, you can read the complete chapter-Geography As A Discipline of NCERT books for class 11 Fundamental Of Physical Geography. If CBSE class 11 students are finding it hard to search for NCERT Fundamental Of Physical Geography books online, then this is the right place as we have provided the textbooks of NCERT chapter wise. These books are available on our website for free along with NCERT Solutions and Exemplar solutions.
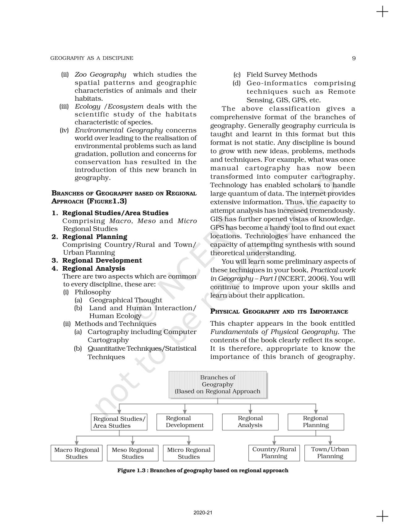
.jpg)
.jpg)
.jpg)
.jpg)
.jpg)
.jpg)
.jpg)
.jpg)
.jpg)
.jpg)
.jpg)
.jpg)